Κοινωνικός ψαλμός 33

πρωτοψάλτης στόν καθεδρικό ναό ἁγίου ᾿Ιωάννου προδρόμου Γέρακα
Κανόνες Δ. Συζήτησης
῾Η χρῆσις τοῦ δημοσιευομένου ὑλικοῦ καὶ τῶν συνημμμένων ἀρχείων διέπεται ἀπὸ τοὺς παρακάτω ὅρους·
α) γιὰ τὰ πνευματικὰ δικαιώματα viewtopic.php?f=138&t=430&p=1237#p1236
β) γιὰ τὰ ἐμπορικὰ δικαιώματα viewtopic.php?f=138&t=430&p=1237#p1237

Κοινωνικός ψαλμός 33

Δημοσίευσηαπό Dionysios » Τετ 24 Δεκ 2008, 00:22:21

Στίχοι ἐκ τοῦ 33ου ψαλμοῦ, ψαλλόμενοι κατὰ τὴν θείαν μετάληψιν.
Ἦχος α΄, μελοποίησις ᾿Ανδρέου ᾿Αλιπράντη (2008).

(γιὰ τριπλὸ ἀλληλουιάριο σὲ κάθε στίχο βλέπε έδῶ viewtopic.php?f=160&t=157)

A08.jpg

A08b.jpg
Άβαταρ μέλους
Dionysios
 
Δημοσ.: 3950
Εγγραφη: Πέμ 11 Σεπ 2008, 21:30:05
Τοποθεσια: ᾿Αθῆναι

Re: Κοινωνικός ψαλμός 33

Δημοσίευσηαπό Dionysios » Τετ 24 Δεκ 2008, 00:29:43

Στίχοι ἐκ τοῦ 33ου ψαλμοῦ, ψαλλόμενοι κατὰ τὴν θείαν μετάληψιν.
Ἦχος β΄, μελοποίησις ᾿Ανδρέου ᾿Αλιπράντη (2008).

(γιὰ τριπλὸ ἀλληλουιάριο σὲ κάθε στίχο βλέπε έδῶ viewtopic.php?f=160&t=157)

A09.jpg

A09b.jpg
Άβαταρ μέλους
Dionysios
 
Δημοσ.: 3950
Εγγραφη: Πέμ 11 Σεπ 2008, 21:30:05
Τοποθεσια: ᾿Αθῆναι

Re: Κοινωνικός ψαλμός 33

Δημοσίευσηαπό Dionysios » Τρί 06 Ιαν 2009, 20:17:02

Στίχοι ἐκ τοῦ 33ου ψαλμοῦ, ψαλλόμενοι κατὰ τὴν θείαν μετάληψιν.
Ἦχος γ΄, μελοποίησις ᾿Ανδρέου ᾿Αλιπράντη (2008).

(γιὰ τριπλὸ ἀλληλουιάριο σὲ κάθε στίχο βλέπε έδῶ viewtopic.php?f=160&t=157)

A10.jpg

a10b.jpg
Άβαταρ μέλους
Dionysios
 
Δημοσ.: 3950
Εγγραφη: Πέμ 11 Σεπ 2008, 21:30:05
Τοποθεσια: ᾿Αθῆναι

Re: Κοινωνικός ψαλμός 33

Δημοσίευσηαπό Dionysios » Δευτ 16 Φεβ 2009, 13:40:39

Στίχοι ἐκ τοῦ 33ου ψαλμοῦ, ψαλλόμενοι κατὰ τὴν θείαν μετάληψιν.
Ἦχος δ΄, μελοποίησις ᾿Ανδρέου ᾿Αλιπράντη (2008).

(γιὰ τριπλὸ ἀλληλουιάριο σὲ κάθε στίχο βλέπε έδῶ viewtopic.php?f=160&t=157)
a11.jpg

A11b.jpg
Άβαταρ μέλους
Dionysios
 
Δημοσ.: 3950
Εγγραφη: Πέμ 11 Σεπ 2008, 21:30:05
Τοποθεσια: ᾿Αθῆναι

Re: Κοινωνικός ψαλμός 33

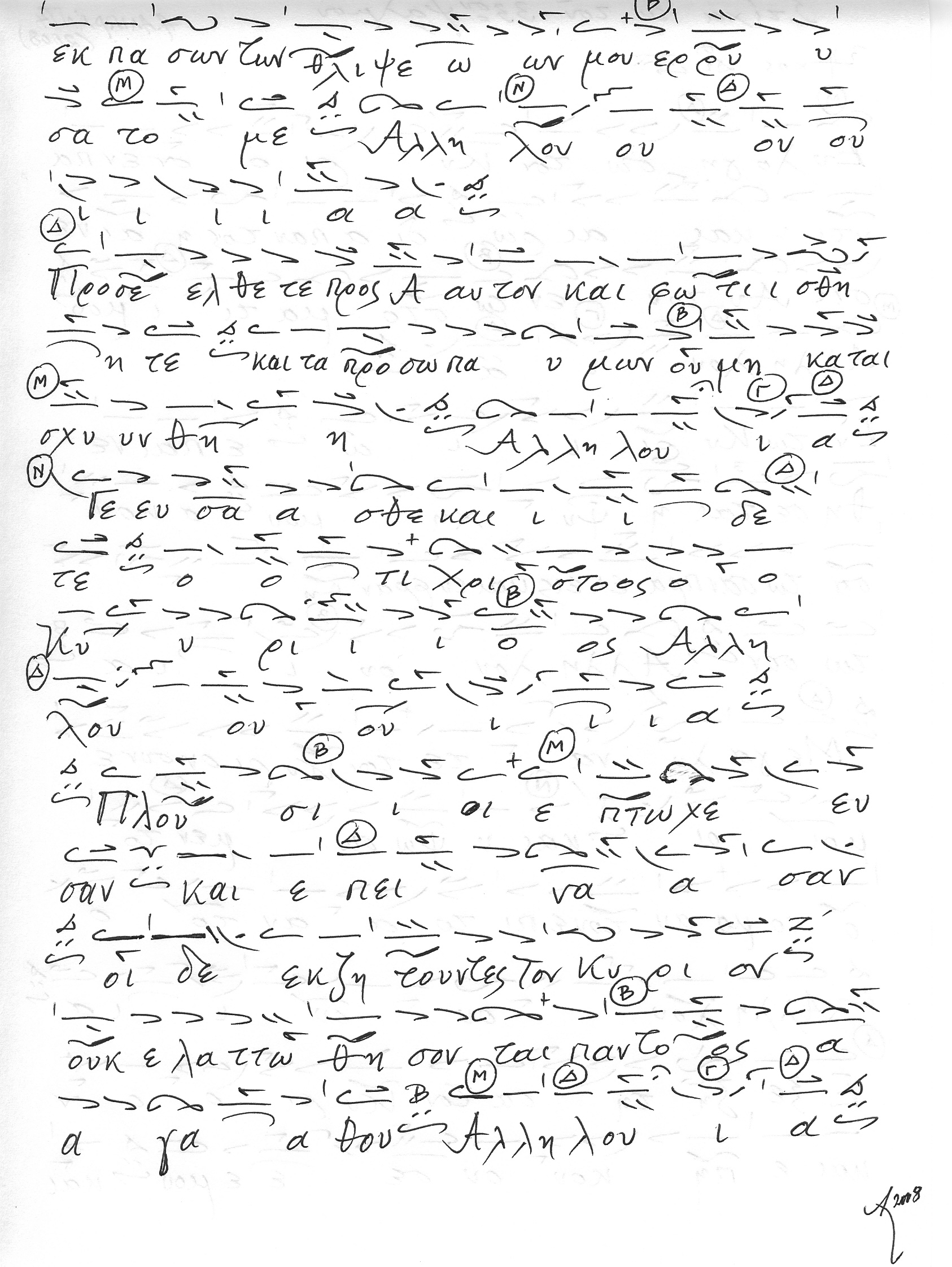
Δημοσίευσηαπό Dionysios » Τρί 17 Φεβ 2009, 00:24:37

Στίχοι ἐκ τοῦ 33ου ψαλμοῦ, ψαλλόμενοι κατὰ τὴν θείαν μετάληψιν.
Ἦχος πλ. α΄, μελοποίησις ᾿Ανδρέου ᾿Αλιπράντη (2008).

(γιὰ τριπλὸ ἀλληλουιάριο σὲ κάθε στίχο βλέπε έδῶ viewtopic.php?f=160&t=157)

A12a.jpg

A12b.jpg

A12c.jpg
Άβαταρ μέλους
Dionysios
 
Δημοσ.: 3950
Εγγραφη: Πέμ 11 Σεπ 2008, 21:30:05
Τοποθεσια: ᾿Αθῆναι


Επιστροφή στην ᾿Ανδρέας ᾿Αλιπράντης, μελοποιήσεις

Μελη σε συνδεση

Μέλη σε αυτή την Δ. Συζήτηση: Δεν υπάρχουν εγγεγραμμένα μέλη και 2 επισκέπτες